The Obidi Action and the Mathematical Rigour of the Theory of Entropicity (ToE)
Beauty and Truth in the Equations of Nature and Reality
The equations of the Theory of Entropicity (ToE) are designed with a high degree of mathematical rigor, though some components are still undergoing formalization and peer review.
Prologue
“…Einstein’s field equations are so beautiful that they must be true…” ~Lev Davidovich Landau
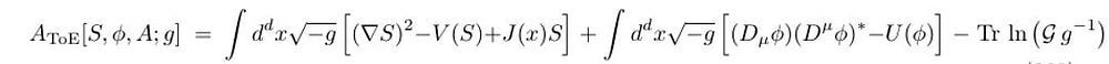
Below is the gauge sectored form of the Obidi Action of the Theory of Entropicity (ToE)
The Obidi Action of the Theory of Entropicity (ToE)
Here’s a breakdown of the current state of rigor and structure of the mathematical formulation of the Theory of Entropicity (ToE):
🧮 Core Mathematical Framework
Obidi Action & Master Entropic Equation (MEE): These form the backbone of ToE’s field-theoretic formulation. The Obidi Action is a variational principle from which the MEE is derived, analogous to how the Einstein-Hilbert action yields Einstein’s field equations.
Entropic Geodesics & Entropy Potential Equation: These equations govern the motion of systems in entropic spacetime, replacing geodesics in curved spacetime with entropy-gradient-driven trajectories.
Information Geometry Integration: ToE incorporates the Fisher–Rao and Fubini–Study metrics via the Amari–Čencov α-connection, grounding its dynamics in a rigorous information-geometric framework.
🧠 Novel Constructs with Formal Definitions
Self-Referential Entropy (SRE) Formalism: Introduces the SRE Index and Clone Theorems, which quantify internal entropic feedback and constraints on information duplication at both quantum and macroscopic levels.
Entropic CPT Symmetry & Noether Principle: These extend classical symmetry principles to entropic fields, yielding new conservation laws and a thermodynamic uncertainty relation.
Entropion Field Quanta: The theory posits quantized excitations of the entropic field — “entropions” — with dynamics governed by the MEE, though their full quantum field treatment is still under development.
🔍 Current Limitations and Ongoing Formalization
While the conceptual architecture is robust, some equations — especially those involving context-dependent entropic thresholds and entropy-driven decoherence rates — are still being refined for mathematical completeness and testability.
The theory’s non-reliance on spacetime curvature and its replacement of gravitational geometry with entropy gradients is a radical departure from General Relativity, and although it reproduces key results (e.g. Mercury’s perihelion precession), it demands new mathematical tools for full validation.
🧭 Summary
The Equations of the Theory of Entropicity (ToE) are rigorous in intent and structure, grounded in variational principles, information geometry, and symmetry analysis. However, some components remain in pre-peer-review stages, and experimental testability and formal closure are active areas of development
References
Further Resources on the Theory of Entropicity (ToE):
Website: Theory of Entropicity ToE — https://theoryofentropicity.blogspot.com
LinkedIn: Theory of Entropicity ToE — https://www.linkedin.com/company/theory-of-entropicity-toe/about/?viewAsMember=true
Substack: Theory of Entropicity (ToE) — John Onimisi Obidi | Substack
Medium: Theory of Entropicity (ToE) — John Onimisi Obidi — Medium
SciProfiles: Theory of Entropicity (ToE) — John Onimisi Obidi | Author
Encyclopedia.pub: Theory of Entropicity (ToE) — John Onimisi Obidi | Author
HandWiki contributors, “Biography: John Onimisi Obidi,” HandWiki, https://handwiki.org/wiki/index.php?title=Biography:John_Onimisi_Obidi&oldid=2743427 (accessed October 31, 2025).
HandWiki Contributions: Theory of Entropicity (ToE) — John Onimisi Obidi | HandWiki
HandWiki Home: Theory of Entropicity (ToE) — John Onimisi Obidi | HandWiki
HandWiki Homepage-User Page: Theory of Entropicity (ToE) — John Onimisi Obidi | HandWiki
Academia: Theory of Entropicity (ToE) — John Onimisi Obidi | Academia
ResearchGate: Theory of Entropicity (ToE) — John Onimisi Obidi | ResearchGate
Figshare: Theory of Entropicity (ToE) — John Onimisi Obidi | Figshare
Authoria: Theory of Entropicity (ToE) — John Onimisi Obidi | Authorea
Social Science Research Network (SSRN): Theory of Entropicity (ToE) — John Onimisi Obidi | SSRN
15. Wikidata contributors, Biography: John Onimisi Obidi “Q136673971,” Wikidata, https://www.wikidata.org/w/index.php?title=Q136673971&oldid=2423782576 (accessed October 31, 2025).
17. Cambridge University Open Engage (CoE): Collected Papers on the Theory of Entropicity (ToE)

